150
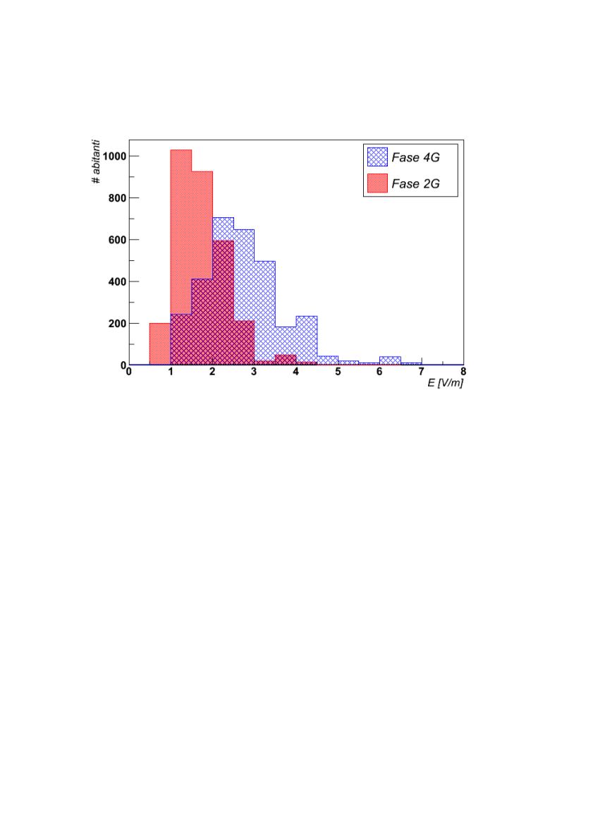
Figura 4 - Distribuzione del numero di abitanti dell’area di indagine nel centro storico
di Roma esposti a un determinato valore di campo elettrico per la fase 2G e 4G
Fonte: Dati ARPA Lazio
4.
RISULTATI E CONCLUSIONI
La procedura illustrata nel paragrafo precedente è stata replicata per le quattro fasi
dell’evoluzione della rete, ottenendo la distribuzione illustrata in Figura 4 per ciascuna
di esse. La Figura 5 mostra la percentuale di popolazione esposta a 4 classi di campo
elettrico crescente, per ciascuna delle fasi tecnologiche studiate.




