Analisi dati EFFIS 2023
Analisi delle superfici complessive percorse da incendio in Italia nel 2023
Secondo l’elaborazione dei dati EFFIS, risulta complessivamente percorsa da incendio in Italia nel 2023 un’area corrispondente a 107330 ha, di cui circa il 37% risulta corrispondere a copertura di terreni agricoli. Nella Tabella 1, sono riportati i dati riferiti alle tipologie di copertura del suolo delle aree bruciate calcolati da EFFIS e suddivisi per le diverse regioni italiane. La distribuzione delle aree percorse da incendio per regione è rappresentata graficamente in figura 1.

Figura 1: Distribuzione della superficie percorsa da incendio nell’anno 2023 per le regioni italiane. Fonte EFFIS
Gli incendi avvenuti in Italia nel 2023 sono risultati senz’altro gravi sia per estensione delle aree colpite (Figura 1) che per la distribuzione disomogenea degli episodi, concentrati in relativamente poche province. Considerando gli anni dal 2018, la superficie bruciata in Italia nel 2023 è seconda solo a quella del 2021, anno eccezionale per numero di incendi e superfici percorse da incendio. Questo nonostante il fatto che da metà aprile a metà giugno le precipitazioni siano risultate mediamente più abbondanti degli anni recenti in tutto il sud Europa [Toreti et al., 2023].
L’inizio dell’estate del 2023 è stata caratterizzata anche in Italia da frequenti precipitazioni, con valori sempre positivi dell’indice Standardized Precipitation Index (SPI) in buona parte della penisola e in particolare nel meridione (vedere ad esempio dati SPI a 3 mesi (aprile, maggio, giugno) ISPRA (vedi riferimenti). Le condizioni meteorologiche di giugno non hanno favorito situazioni di particolare criticità per gli incendi durante il periodo compreso tra l’inizio dell’estate fino alla seconda decade di Luglio. Questa situazione è completamente cambiate nell’Italia meridionale dalla terza decade di luglio.
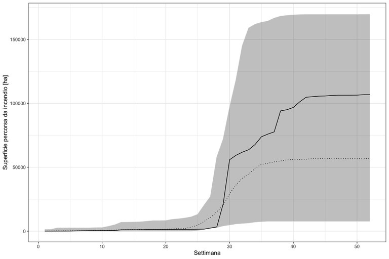
La Figura 2 permette il confronto tra l’andamento cumulato delle superfici colpite da incendio (AB tot) nel 2023 con l’andamento medio annuale ed il range massimo-minimo della serie storica del 2006-2022 (fonte EFFIS). Come si può notare, nella prima metà dell’anno il 2023 ha un andamento pari o inferiore al valor medio della cumulata della serie storica, identificandosi anche con i valori minimi. A fine luglio poi, nell’arco di circa due settimane (dalla 28° alla 30°) si nota un aumento repentino della superficie colpita da incendio. Questo andamento è dovuto agli incendi che hanno colpito la regione Sicilia e la regione Calabria a partire proprio dal 24 luglio 2023. Da questo punto fino alla fine dell’anno il valore cumulato rimane costantemente sopra il valore medio, pur non raggiungendo i massimi della serie storica 2006-2022.

Figura 2: Somma cumulata annualmente delle superfici percorse da incendio per la serie storica 2006-2022 (sorgente dati EFFIS Burnt area database). L’area grigia rappresenta il range min-max e la linea punteggiata il valore medio per il periodo 2006-2022. La linea in colore nero rappresenta la superficie cumulata percorsa da incendio nel corso dell’anno 2023.

Tabella 1: Superficie percorsa da incendio secondo EFFIS nelle diverse regioni Italiane dal 1 gennaio al 31 dicembre 2023, suddivise nelle classi di copertura del suolo prodotte da CLC2018. REG=Regioni, FOR=Foreste, SCL=Sclerofille, TRA=Transizione, ALTN=Altro Naturale, AGR=Agricolo, ART=Artificiale, ALT=Altro, TOT=Totale. Le regioni sono in ordine decrescente in relazione alla superficie totale bruciata. La classe ”Foresta” include sia le latifoglie decidue che le conifere. La classe ”Sclerofille” comprende tutte le specie arboree e arbustive sempreverdi. La classe ”Transizione” comprende tutte le superfici con copertura non omogenea delle specie arboree e arbustive. In ”Altro Naturale” sono incluse prevalentemente tutte le praterie non soggette ad attività agricola. Le regioni dove non risultano aree percorse da incendio non sono presenti in tabella. Dati aggiornati in archivio EFFIS al 25 febbraio 2024.